FocusГадаад харилцааШинэ мэдээ
“Эрдэнэставан толгой” ХК-ийн нүүрс борлуулалтын мэдээлэл

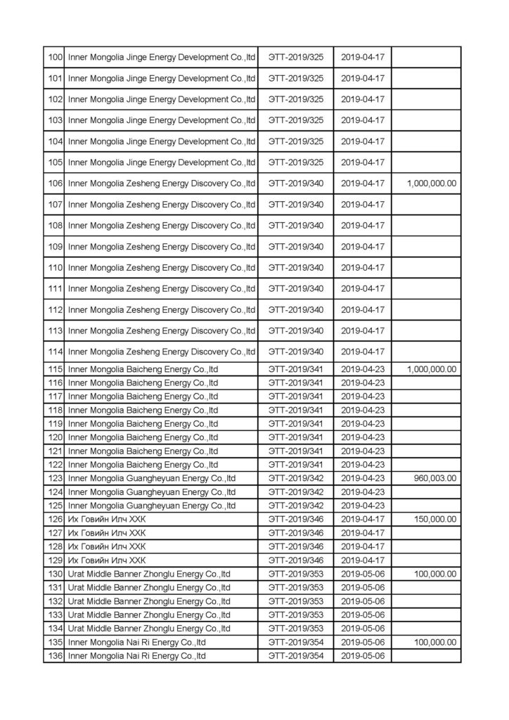
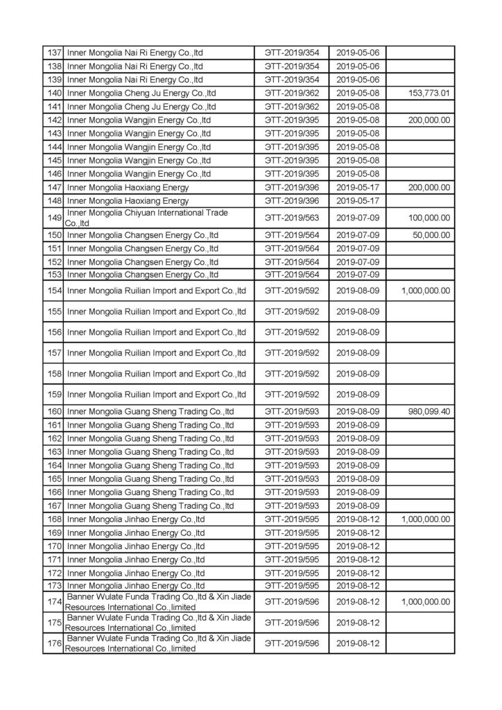
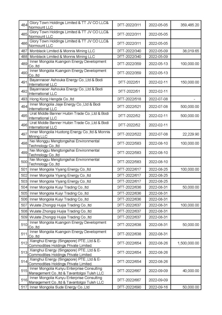
Авлигатай тэмцэх газрын Мөрдөн шалгах хэлтэс “Эрдэнэс Тавантолгой”, “Тавантолгой төмөр зам” төрийн өмчит компаниудын эрх бүхий албан тушаалтнууд тендер сонгон шалгаруулах, нүүрс худалдах, худалдан авах гэрээ байгуулах, улсын хилээр хууль бусаар нэвтрүүлэх, олон улсын ачаа тээврийн “С” зөвшөөрөл олгох, нүүрс тээврийн төмөр замын барилгын ажил гүйцэтгэхдээ бусдад давуу байдал бий болгосон, хахууль авсан, үндэслэлгүйгээр хөрөнгөжсөн байж болзошгүй асуудалд одоогоор хэрэг бүртгэлтийн 11 хэрэг, мөрдөн байцаалтын 7 хэрэг нээн мөрдөн шалгах ажиллагааг явуулж байна.






















