Хот хоорондын нийтийн тээврийн зардлыг км тутамд 60-65 төгрөгөөр нэмжээ

Зам тээврийн сайдын 2013 оны 07 дугаар сарын 10-ны өдрийн 162 дугаар “Автотээврийн жишиг тариф шинэчлэн батлах тухай” тушаалаар “Хот хоорондын зорчигч тээврийн 1 хүн.км-ийн өртгийг 45-55 төгрөг байхаар баталсан.
Уг жишиг тарифыг баримтлан хот хооронд болон орон нутгийн нийтийн тээвэрлэлтийн тарифыг тооцоолон, аж ахуй нэгж байгууллагатай харилцан тохиролцож гэрээгээр тээвэрлэлтийг гүйцэтгэж ирсэн.
Дээрх хугацаанд шатахууны үнэ 10 гаруй удаа нэмэгдэж өнөөдрийн байдлаар 2390 төгрөг болж 26,7%-аар өссөн нь тээвэрлэгч аж ахуйн нэгж байгууллагуудын алдагдлыг нэмэгдүүлэн, хот хоорондын нийтийн зорчигч тээврийн үйлчилгээг хэвийн явуулах боломжгүй болж байна.
Зам, тээврийн хөгжлийн сайдын 2019 оны 374 дүгээр тушаалын 2 дугаар хавсралтаар 1 хүн.км-ийн өртгийг 60-75 төгрөг байхаар тогтоосон.Дээрх тушаал шийдвэртэй уялдуулан хот хоорондын нийтийн тээврийн тарифыг 1 хүн.км-ийн өртгийг 60-65 төгрөг болгон нэмэгдүүлж, аж ахуйн нэгж байгууллагатай гэрээгээр харилцан тохиролцсон хэрэгжүүлээд байна.
Ингэснээр хот хооронд нийтийн тээврийн чиглэлүүдийн тээвэрлэлтийн үнэ 700 – 20,000 төгрөгөөр нэмэгдсэн байна.
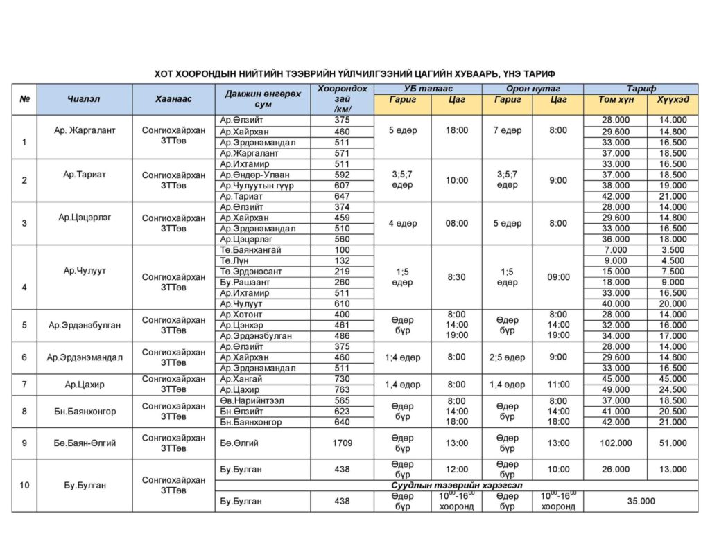
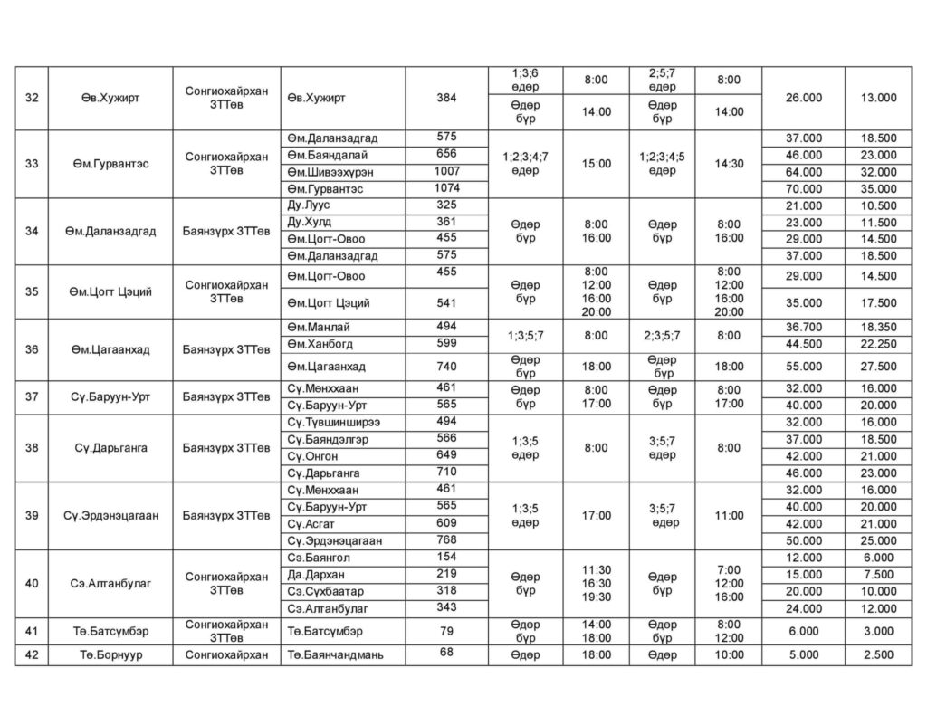
Чиглэл бүрийн үнэ, тарифыг доорх зурагнаас харах боломжтой.










